
<우선순위 큐를 활용한 풀이>
import java.util.ArrayList;
import java.util.HashMap;
import java.util.PriorityQueue;
public class DijkstraByPriorityQueue {
public static int n = 6; // 노드의 개수
public static int INF = 1000000; // 무한대를 의미
public static HashMap<Integer, ArrayList<Node>> nodeListMap = new HashMap<>(); // key : 각 노드의 인덱스(0 ~ 5), value : 각 노드의 인덱스로부터 전체 노드까지의 인덱스와 거리를 담을 리스트
public static HashMap<Integer, Integer> minDistanceMap = new HashMap<>(); // key : 각 노드의 인덱스(0 ~ 5), value : 각 노드까지의 최단거리(출발 노드로부터)
public static void dijkstra(int start) {
PriorityQueue<Node> pq = new PriorityQueue<>(); // 우선순위 큐 생성 // 출발 노드로부터 현재 최단거리에 있는 노드부터 우선적으로 빼내어 체크하기 위함(출발 노드로부터 현재 최단거리에 있는 노드를 체크해야 다른 노드들까지의 최단거리 갱신의 가능성이 있기 때문)
Node pqNode; // 우선순위 큐에서 빼낸 노드를 담을 변수(출발 노드로부터 현재 최단거리에 있는 노드)
ArrayList<Node> nodeList; // 우선순위 큐에서 빼낸 (출발 노드로부터 현재 최단거리)노드를 거쳐서 체크할 타겟 노드 리스트
// 각 노드까지의 최단거리 초기화
for (int key : nodeListMap.keySet()){ // 0 ~ 5
minDistanceMap.put(key, INF); // 모든 최단거리 무한대로 초기화
}
minDistanceMap.put(start, 0); //출발 노드까지의 최단거리는 0으로 SET
pq.add(new Node(start, 0)); // 출발 노드를 우선순위 큐에 추가 // 최단거리가 갱신되었으므로 우선순위 큐에 추가 => 이 최단거리를 거쳐 다른 노드들까지의 최단거리도 갱신될 수 있기 때문
while (!pq.isEmpty()) { // 더 이상 최단거리 갱신이 불가할 때까지 반복
pqNode = pq.poll(); // 출발 노드로부터 현재 최단거리에 있는 노드
if (pqNode.getDistance() > minDistanceMap.get(pqNode.getIndex())) { // 최단거리 갱신이 가능한지 체크
continue;
}
nodeList = nodeListMap.get(pqNode.getIndex()); // 현재 최단거리에 있는 노드를 거쳐서 체크할 타겟 노드 리스트
for (Node node : nodeList) { // 타겟 노드 0 ~ 5 모두 체크
if (pqNode.getDistance() + node.getDistance() < minDistanceMap.get(node.getIndex())) { // 출발 노드로부터 현재 최단거리에 있는 노드를 거쳐서 타겟 노드로 가는 거리가 타겟 노드의 최단거리보다 작을 경우
minDistanceMap.put(node.getIndex(), pqNode.getDistance() + node.getDistance()); // 타겟 노드의 최단거리 갱신
pq.add(new Node(node.getIndex(), pqNode.getDistance() + node.getDistance())); // 타겟 노드 우선순위 큐에 추가
}
}
}
}
public static void main(String[] args) {
// TODO Auto-generated method stub
for (int i = 0; i < n; i++) { // 0 ~ 5
nodeListMap.put(i, new ArrayList<Node>()); // key값 0 ~ 5(각 노드 인덱스)마다 Node 정보를 담을 리스트 생성
}
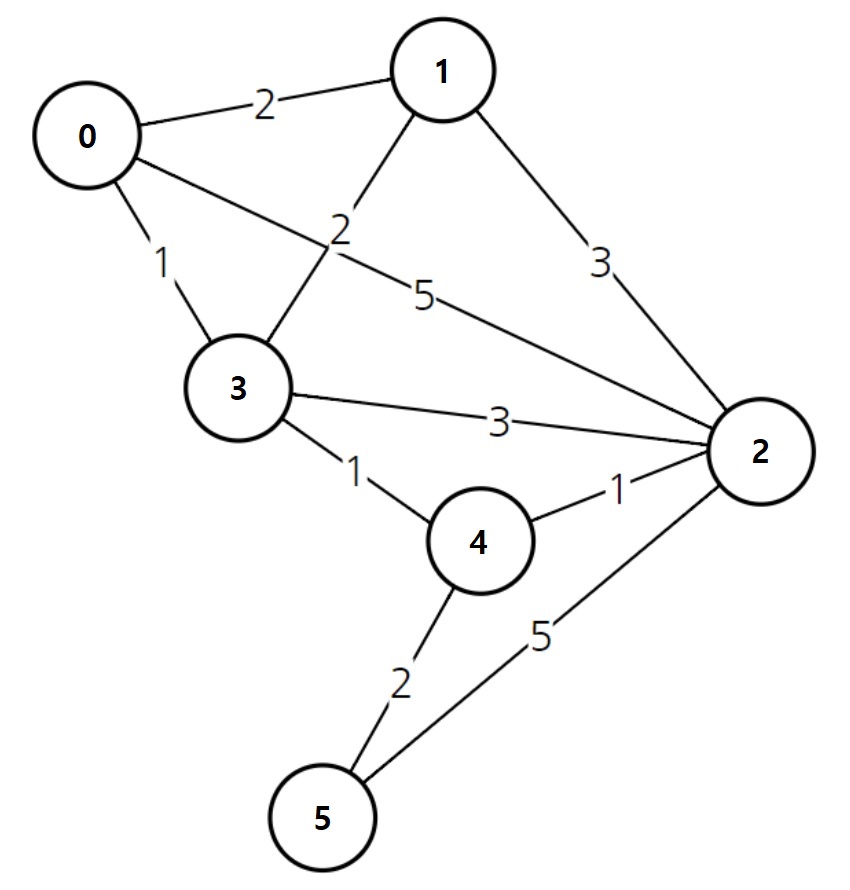
nodeListMap.get(0).add(new Node(0, 0)); // 0번 노드로부터 0번 노드까지의 거리 0
nodeListMap.get(0).add(new Node(1, 2)); // 0번 노드로부터 1번 노드까지의 거리 2
nodeListMap.get(0).add(new Node(2, 5)); // 0번 노드로부터 2번 노드까지의 거리 5
nodeListMap.get(0).add(new Node(3, 1)); // 0번 노드로부터 3번 노드까지의 거리 1
nodeListMap.get(0).add(new Node(4, INF)); // 0번 노드로부터 4번 노드까지의 거리 INF
nodeListMap.get(0).add(new Node(5, INF)); // 0번 노드로부터 5번 노드까지의 거리 INF
nodeListMap.get(1).add(new Node(0, 2)); // 1번 노드로부터 0번 노드까지의 거리 2
nodeListMap.get(1).add(new Node(1, 0)); // 1번 노드로부터 1번 노드까지의 거리 0
nodeListMap.get(1).add(new Node(2, 3)); // 1번 노드로부터 2번 노드까지의 거리 3
nodeListMap.get(1).add(new Node(3, 2)); // 1번 노드로부터 3번 노드까지의 거리 2
nodeListMap.get(1).add(new Node(4, INF)); // 1번 노드로부터 4번 노드까지의 거리 INF
nodeListMap.get(1).add(new Node(5, INF)); // 1번 노드로부터 5번 노드까지의 거리 INF
nodeListMap.get(2).add(new Node(0, 5)); // 2번 노드로부터 0번 노드까지의 거리 5
nodeListMap.get(2).add(new Node(1, 3)); // 2번 노드로부터 1번 노드까지의 거리 3
nodeListMap.get(2).add(new Node(2, 0)); // 2번 노드로부터 2번 노드까지의 거리 0
nodeListMap.get(2).add(new Node(3, 3)); // 2번 노드로부터 3번 노드까지의 거리 3
nodeListMap.get(2).add(new Node(4, 1)); // 2번 노드로부터 4번 노드까지의 거리 1
nodeListMap.get(2).add(new Node(5, 5)); // 2번 노드로부터 5번 노드까지의 거리 5
nodeListMap.get(3).add(new Node(0, 1)); // 3번 노드로부터 0번 노드까지의 거리 1
nodeListMap.get(3).add(new Node(1, 2)); // 3번 노드로부터 1번 노드까지의 거리 2
nodeListMap.get(3).add(new Node(2, 3)); // 3번 노드로부터 2번 노드까지의 거리 3
nodeListMap.get(3).add(new Node(3, 0)); // 3번 노드로부터 3번 노드까지의 거리 0
nodeListMap.get(3).add(new Node(4, 1)); // 3번 노드로부터 4번 노드까지의 거리 1
nodeListMap.get(3).add(new Node(5, INF)); // 3번 노드로부터 5번 노드까지의 거리 INF
nodeListMap.get(4).add(new Node(0, INF)); // 4번 노드로부터 0번 노드까지의 거리 INF
nodeListMap.get(4).add(new Node(1, INF)); // 4번 노드로부터 1번 노드까지의 거리 INF
nodeListMap.get(4).add(new Node(2, 1)); // 4번 노드로부터 2번 노드까지의 거리 1
nodeListMap.get(4).add(new Node(3, 1)); // 4번 노드로부터 3번 노드까지의 거리 1
nodeListMap.get(4).add(new Node(4, 0)); // 4번 노드로부터 4번 노드까지의 거리 0
nodeListMap.get(4).add(new Node(5, 2)); // 4번 노드로부터 5번 노드까지의 거리 2
nodeListMap.get(5).add(new Node(0, INF)); // 5번 노드로부터 0번 노드까지의 거리 INF
nodeListMap.get(5).add(new Node(1, INF)); // 5번 노드로부터 1번 노드까지의 거리 INF
nodeListMap.get(5).add(new Node(2, 5)); // 5번 노드로부터 2번 노드까지의 거리 5
nodeListMap.get(5).add(new Node(3, INF)); // 5번 노드로부터 3번 노드까지의 거리 INF
nodeListMap.get(5).add(new Node(4, 2)); // 5번 노드로부터 4번 노드까지의 거리 2
nodeListMap.get(5).add(new Node(5, 0)); // 5번 노드로부터 5번 노드까지의 거리 0
dijkstra(0); // 출발 노드 0
for (int i = 0; i < n; i++) { // 0 ~ 5
System.out.print(minDistanceMap.get(i) + " "); // 각 노드까지의 최단거리 출력(출발 노드로부터)
}
}
}
public class Node implements Comparable<Node> {
private int index = 0; // 노드의 번호
private int distance = 0; // 노드의 거리
public Node(int index, int distance) {
this.index = index;
this.distance = distance;
}
public int getIndex() {
return this.index;
}
public int getDistance() {
return this.distance;
}
@Override
public int compareTo(Node otherNode) {
// TODO Auto-generated method stub
return this.distance - otherNode.distance; // distance 기준 오름차순 정렬 // 1, 2, 3, ...
// return otherNode.distance - this.distance; // distance 기준 내림차순 정렬 // ..., 3, 2, 1
}
}
출력 결과 : 0 2 3 1 2 4
Dijkstra(다익스트라) 알고리즘 우선순위 큐 문제 풀이 Java
'Algorithm > Dijkstra' 카테고리의 다른 글
| [Algorithm] Dijkstra-1 (0) | 2022.11.27 |
|---|